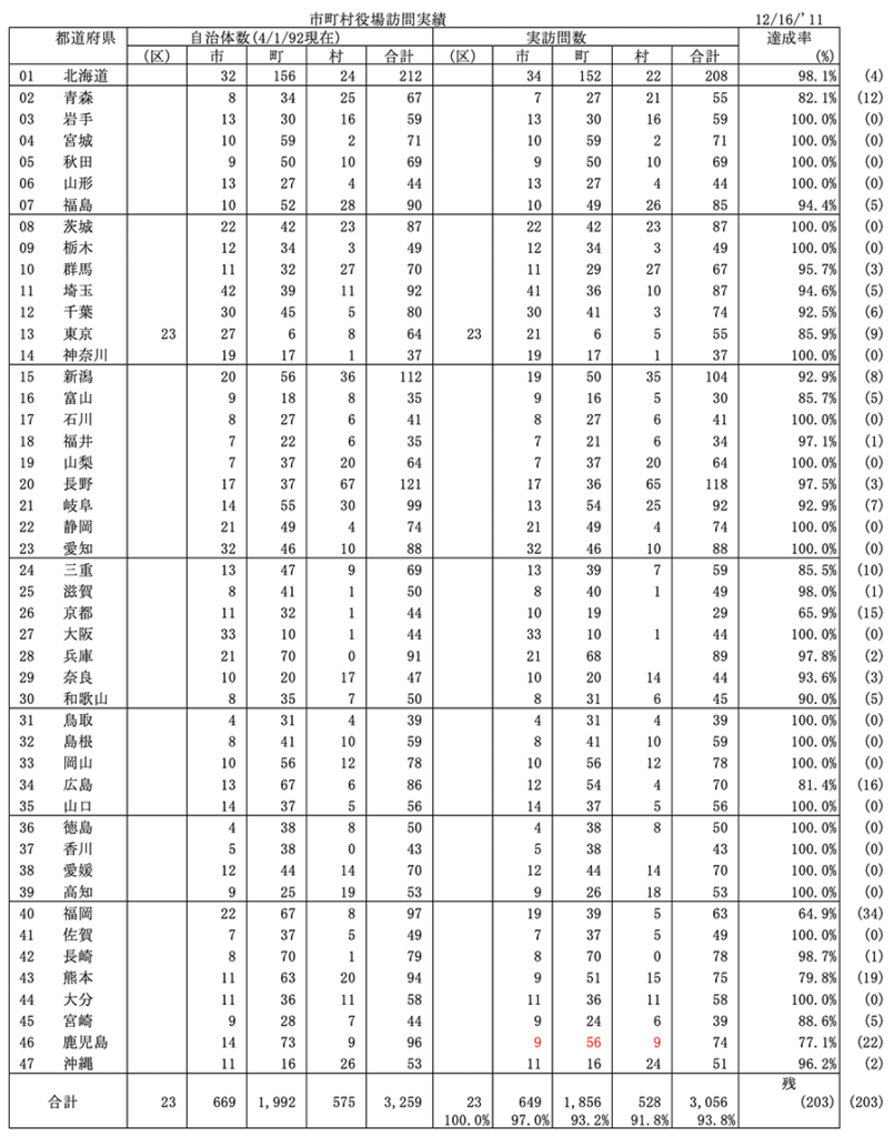
目標3259市町村に対し残り216となったところで、県別では鹿児島県の35と福岡県の34というのが断トツに多い。福岡県の方はすべて鉄道かバスで行け本数も多く、かつ残りが北九州地区に比較的多く固まって残っているので、2回も行けばクリアできそうだ。しかし鹿児島県は種子島、屋久島、甑島、さらには奄美群島南端の沖永良部島と与論島といった島嶼部がまだ残っているので、少なくともあと3回は行かなければならないだろう。だから早めに手をつけておこうと、マイレージ無料航空券利用がローシーズンである12月中に、甑島と、架橋によって離島ではなくなったが長島をメインに出かけることにした。
羽田空港は初めてD滑走路からの離陸を体験した。多摩川河口付近の海上に、橋を渡って行ったのでタキシングの時間は長かったものの、離陸待ちで並ぶということはなかった。滑走路の3分の1くらいが桟橋で、その先が人口島となっていたが、建物などの構造物は一切なく、まな板の上から飛び立ったようなものだった。北に向かって離陸するとすぐにUターンし、そのまま西に向かった。知多、伊勢、御坊、室戸、中村を右窓から見下ろしつつ、宮崎から南に回り、国分上空から鹿児島空港に侵入した。富士山も右窓下に見えた。

何か良い手はないのか 肥薩おれんじ鉄道
鹿児島空港からはまず出水市に行くために阿久根市役所行きのバスに乗った。乗客は私を入れて2名のみ、鹿児島市内行きを除く県内他都市への便はいずれも同じようなもので、ここでも県都一極集中が進んでいるようだ。1時間半ほどの乗車で出水駅前に着いた。新幹線も停まる駅前にしてはビジネスホテルが1軒建っているだけの、野原のようなところだ。在来線駅もそのまま残っているので場所は変わっていないはずで、工場か何かが立ち退いた跡なのだろうか。肥薩おれんじ鉄道の駅は旧鹿児島本線のものをそのまま使っているが、駅舎は新設の簡易なもので、JRの旧駅舎も残っていたが使っていなかった。車庫もあり、ここが同鉄道の運行拠点のひとつのようだ。
出水の中心市街地というのは駅から南に1キロくらい離れたところで、武家屋敷跡などがあると聞いたが、そことは反対方向の市役所まで往復する時間しかなかった。ここの武士団は幕府からの隠密などを入れないよう薩肥国境地帯を任された強兵の集団だったそうだ。


初めて乗る肥薩おれんじ鉄道で隣町の高尾野に行き、さらに隣の野田町まで1駅間歩いたが、この両町は06年合併で出水市の一部になっている。この鉄道は、並行在来線として熊本県や鹿児島県などの沿線自治体とJR貨物が出資する第三セクターであるが、JR時代から電化路線でありコンテナ列車はELが牽引する。一方旅客の方はすべて気動車だ。LRTタイプの電車にした方が経費的には得だと思うが,交流用の電車は車両費が高くつくのだろう。この鉄道には、この後も阿久根まで、さらに翌日は川内まで乗ったが、いつ乗っても乗客は少なかった。利用客が多い熊本・八代間と鹿児島・川内間はJR九州に残り、その中間116.9キロの閑散区間だけを運行しているのだから、今もそうだがこれから先ますます苦しくなるだろう。少なくとも旅客輸送に関しては立派な道路が並行しており、バスで十分だと思う。しかし貨物をやめるわけには行かないだろうし、今後とも維持して行かなくてはならない高規格の線路なのだから、使わない手はない。コスト負担方法の抜本的な見直しなどを含めた、何か良い手が考えられないのだろうか。
野田郷駅前の駄菓子屋のような店で買ったパンを昼食とし、次のキハで阿久根に向かった。九州新幹線から離れていることから、沿線の中でおれんじ鉄道による鉄道存続に最も積極的だったのが阿久根市だったそうだが、市長と市議会が対立したことでマスコミを賑わし、全国的に有名になった。市役所は駅から1キロほど離れた漁港近くにあり、次の長島へのバスまで37分しかなかったので小走りに往復した。市役所庁舎は、外装工事中で全体がシートに覆われており、阿久根市役所と書かれた看板を写真に撮ることはできなかった。
難しい過疎地公共交通の維持 長島
阿久根駅前から南国バスで長島に向かった。バスは国道3号線を出水方面に戻るように進み隣駅の折口駅前を通り、10キロくらい走ってから黒之瀬戸大橋を渡り長島に入った。長島は南北約15キロ、東西約11キロ、面積約90平方キロで東京23区で最大の大田区の1.5倍くらいの広さの島だが、その北に連なる諸浦島、伊唐島、獅子島なども長島町に属している。人口は合計で13千人ほどだ。長島本島は74年に完成した橋によって九州本土と陸続きになり、その後諸浦島、伊唐島とも橋が架かったので、完全に離島なのは獅子島だけとなった。16年までは東西2つの町に分かれており、本島の西側が長島町、東側と3島とが東町だった。平成の合併でひとつの長島町となったが、旧東町役場が合併後の新町の町役場本庁舎になった。町の名前と庁舎を分け合ったのかも知れない。
この2つの庁舎に効率良く行こうとしてもバスの本数が少ない。バスは2路線あり、島の東側の旧東町役場前を経由して北部の平尾というところに行くものと、西側の旧長島役場前を通って同じく平尾に行くものとがある。前者は出水から、後者は阿久根から来て、黒之瀬戸大橋を渡って長島に入った最初のバス停であるゲート前で接続し、お互いに乗り継げるようになっている。そういう組み合わせになっているのだが1日に各4本ずつしかない。熟慮の上決めたのが、阿久根から乗りゲート前で東経由に乗り換え役場に行き、2時間後のバスでゲート前に戻り、西経由に乗り指江支所となった旧長島役場に行く、そしてその先1キロほどのところにある三セクの温泉施設に泊るというものだった。
その通りにゲート前で乗り換え旧東町役場、現長島町役場前で降りた。しかし周辺には2時間も時間をつぶすようなところがない。地図で見たところ平尾までは4キロくらいだし、2時間後に乗るバスとほぼ同時刻に平尾を発車する西回りのバスもあり、天気も良かったので平尾まで歩くことにした。しかし山ばかりの島内の、平尾という名前もことによると尾根が平らになったところという意味なのか、かなり山の上の方にあり、しかもその前に一旦浦底という港まで降りてからまた登るという結構きつい歩きとなった。ただし道路は大変良く整備されており、滅多に車が走っていないのにずっと立派な歩道が続いていた。地図には載っていない新しい道のようで、急勾配を避けるように大きくループを描き、後日地図ソフトで調べてみたら4.8キロ歩いたことがわかった。57分要したからいつもに比べると随分遅かった。


平尾からのバスは先程のゲート前から町役場前まで乗った車両で運転手も同じ人で、ここまで歩いて来たと言ったら呆れられた。バスには指江支所前まで約20分の乗車だったが、いったん天草の牛深へのフェリー乗場のある蔵之元港に寄った。この間も他の客はいなかった。蔵之元港からのフェリーは1日10便もあり牛深まで30分だ。その牛深に行ったのは10年前の01年2月で、思いもかけず天草のこんな近くまで来ていたことに感慨を新たにした。
支所の写真を撮ってからサンセット長島という国民宿舎まで歩き、温泉に浸かりながら久しぶりに2万4千歩も歩き棒のようになっていた脚をもんだ。目の前に見えた島は天草の属島だった。背後の山の尾根上には20基近くの風力発電用風車が回っていた。
翌朝一番の本土へのバスは温泉センター前6時35分乗車という早い時間だったがすでに10名を越す高校生が乗っており、その後もバス停ごとに増え、ゲート前に着いたときには通路までぎっしりだった。ゲート前には行き先が「鶴翔高校」と書かれた南国バスが3台停まっており、東側からのバスも含め大勢の高校生が乗り換えて行った。鶴翔高校とは05年に阿久根高校・阿久根農業高校・長島高校の3校が統合されて出来た県立高校で、阿久根駅の北東2キロくらいのところにある。
昨日ゲート前で、どうせ乗換えるのならば島内用は小型のハイエース程度のもので十分なのではと、客の少なさに勝手に思っていたが、朝の通学輸送を見るととてもそうは行かない。地方の公共交通を、過剰設備だと言って切り捨てようとする考えも、一筋縄では行かないものだと、つくづく思う次第である。
折口駅から川内まで肥薩おれんじ鉄道に乗った。直前のバスの混雑を見ていた上に、川内着8時20分という正に通勤通学ピークの列車のはずだから相当の混雑を覚悟していたのだが、2両編成のキハは最後まで1両に10名前後しか乗らず、ここでもこの鉄道の厳しさが察せられた。川内駅のコーヒーショップにモーニングサービスにあり、朝食タイムをとってから鹿児島中央行きのJR九州の電車に串木野まで乗った。川内には04年に来ており、その時は素泊まり3900円という川内第一ホテルに泊っている。
人口激減の甑島
いよいよ今回のハイライトである甑島に渡る。福岡転勤時の81年以来30年ぶりだ。まず合併でいちき串木野市となった市役所に行き、串木野新港のフェリー発着所まで歩いた。広大な埋立地の先端にあり、市役所から2.5キロもあった。甑島、正確には甑島列島は、串木野の西方の東シナ海に位置し、北東から南西に連なる有人の上甑島・中甑島・下甑島の3島と付属するいくつかの島から構成されている。このうち上甑島と中甑島間はその中間にある小島を挟んで93年に完成したふたつの橋でつながっている。平成の合併前は4つの村に分かれており、上甑島の北半分が里村、同島の残り半分と中甑島が上甑村、下甑島の北部が鹿島村、南部が下甑村だったが、前述の通り全島が薩摩川内市の一部になった。
島へはフェリーと高速船が各2便ずつ運行しているが、便によって寄港地が異なり、4つの旧村庁舎すべてに行くには島内に1泊するしかない。旧4村いずれにも民宿があるが、本土に最も近い里港に甑島館という温泉付きの市営ホテルがあり、2食付き9285円と少々高かったがそこに泊ることにした。今回は、ここ甑島と昨日の長島への行程を先に作り、それを中核としてその前後のスケジュールを決めた。
串木野を11時15分に出港した「フェリーニューこしき」に、途中の里港では降りず中甑港まで乗った。港や集落の名前は中甑だが旧村名は上甑、現庁舎名は薩摩川内市上甑支所となっていた。中甑島という島はさらに南にあり、行政上は旧村時代と同様上甑内だが、島には中甑という集落はなくややこしい。なお合併後の各村はそのまま薩摩川内市上甑町など町になっている。それら町ごとのこの50年間の人口推移をみると、四分の一くらいのという激減ぶりであることに驚いた。



上甑支所周辺には県の出先事務所や裁判所があり、さらには九州電力の発電所もあった。また市街地も他の旧役場所在地に比べ多少賑わいがあるように見え、ここが実質的に甑島全体の行政や経済の中心のように思えた。電力については、ディーゼル機関の最大出力は14千KW、3島分を賄っている。ほかに上甑島には風力発電所があり容量は250KWだそうだ。今の人口は3島合わせて6千人にも満たないのだから、こと電力に関しては十分余力がある。
中甑から薩摩川内市営バスで小さな峠を越えて先程寄港した里に戻った。トンボロという陸繋島につながる砂州上にできた集落で、函館をぐっと小さくしたような所だ。港外には海上にコンビニのおにぎりを置いたような小島が10くらいあった。東側に200メートル四方くらいの埋立地があり、フェリー乗場の他は6階建半円形型の甑島館が港を見下ろすように建っているだけで、そのほかは広い公園になっていた。甑島館は客室39室、150人まで収容できる宴会場に温泉大浴場、2階天井まで吹き抜けのロビーなど本格的なもので、この地でいつまでやって行けるのか心配になるくらい豪華な施設だった。もともと里村が建てたもので、合併に伴い薩摩川内市所有のものになったが、運営は塩田建設という地場の企業に全面委託(アウトソーシング)している。同社は里に本社があり資本金15百万円、従業員35名、建設業の他運送業、タクシー、物品販売などを行っており、島のコングロマリットと言えようか。
チェックインしたのがまだ15時前だったので、近くの観光案内所で自転車を借りた。電動アシスト付きが4時間まで500円だった。島の北岸に連なる長目の浜と呼ばれている海鼠池、貝池、鍬崎池が続く風景は他では見ることがない、甑島独特のものだ。そして島を横断する近代的なトンネルを抜け中甑集落に出て、さらに鹿の子橋を渡って中甑島まで行ってみた。何処も道路は立派で、車は殆ど通らず、アップダウンは多いものの少々の登り道は電動アシストで十分だが、押して行かねばならない急坂も何カ所かあった。わざわざ中甑港に上陸してバスで里に向かう必要がなかったわけだが、自転車は公共交通機関と定義していなかったので仕方がない。
30年前に来たときにも自転車を借りた。このときは小学生と幼稚園の子連れで、家内と2台の自転車を借り、それぞれ荷台に子供を乗せ、同じようなところを回った。道も悪かったし、トンネルなどもなかった。もちろん電動式ではなかった。今回は、途中で電池切れになったこともあったが、前回よりも疲れたような気がするのは、やはり歳を重ねたせいだろう。




戦略的凝縮のチャンスを逃すな 甑島のハイウェー
翌日は高速船シーホークで里港から下甑島の南端の手打港に向かった。中甑、鹿島、長浜の港にひとつひとつ丁寧に寄港して行くので、高速船なのに1時間半も要した。特に中甑、鹿島は大きく湾内に入り込むので余計に時間がかかる。中甑島と下甑島を結ぶ藺牟田瀬戸架橋工事が、かなり進んでいるのが見えた。完成予定時期はわからなかったが、全長533mということなので、たいした距離ではない。完成すれば甑島列島の南北が1本の道で繋がることになる。また長浜港背後の山上に4~5階建の建物が見えたが、航空自衛隊の分屯基地があると聞いていたので、その関連施設なのだろう。基地は戦後米軍が建設したもので、その後航空自衛隊に移管されたそうだ。
最南端の手打港にはフェリー着岸施設は使っておらず、高速船だけが発着する。私を含め4人の客を降ろし、13人を乗せると串木野港に直行した。途中の港で乗船客がほとんどいなかったのは、車で手打ち港まで来てから利用するのかも知れない。その方が早いのだろう。手打は里をさらに小さくしたトンボロがあり最狭部は100メートルにも満たない。江戸時代薩摩藩が他国や海外からの不審者侵入を監視した番所跡がこのトンボロ上にあった。そこから500メートルくらい武家集落跡が続いていて、旧下甑村役場はこの先にあった。
ここから市営バスに乗り、下甑島を縦走し北端の鹿島に向かった。急峻な山道を覚悟していたら、これがびっくりするほど良い道の連続だった。「一般県道手打藺牟田港線」と言い、手打から鹿島港までの下甑島の骨格をなす延長29キロの路線であり、将来は前述の藺牟田瀬戸に架かる橋を通って中甑島及び上甑島までつながる。途中長浜港の手前、青瀬というところまでは今年(11年)4月に開通したばかりの2つのトンネルにより全体の約8割がバイパス区間となり、旧道に比べ延長で約4.6キロ、走行時間で約10分短縮されたという。ふたつのトンネルはいずれも千メートルを越すもので、往復2車線で照明も煌々と照らされた立派なものだった。
長浜港から先は、道路狭隘部分が4~5キロ続いたが、対向車は滅多に来なかった。さらにその先、吹切浦という幅150メートルくらいの地峡部は、恐らく二つの島が何かのはずみで繋がった部分なのだろうが、まさにスカイラインと言った感じの道路の両サイドが海で、他では経験したことがない絶景だった。ここから鹿島までも快適な道路が続いていた。鹿島に着くとバスの運転手から、車庫まで乗せて行ってあげるから近くの断崖を見に行かないかと言われ従った。集落背後の小高い丘の急階段を登ると反対側が落ちるような海で、海面から200メートルもの断崖だった。絶壁に現れる様々な地層は、恐竜やアンモナイトが生息していた白亜紀終わり頃のもので、学術的にも貴重なものだそうで「日本の地質百選」にも選ばれているとのことだった。
長浜は旧4村のなかで人口も面積も最小だったが、役場庁舎だけは2~3年前に建ったと思われる大きくてスマートなものだった。その隣の小学校も校舎は新しかったが、生徒数は14人のみ、ただし今年4月から山海留学生が加わり21人になったそうだ。


甑島はいずこも道が良く、島内の行き来は実に便利だった。だから今となっては逆に航路が随分無駄をしていると思う。特に中甑港や鹿島港は湾内に入るのに大きく迂回をしなければならないので時間も燃料代も余計にかかる。もちろんかつては、集落ごとに船で行しか行けなかったが、今はそんな必要はない。上甑は里、下甑は長浜に港を集約すれば高速船は2往復から3往復に増やせるし、船に接続するようにバス便を充実させたら、今よりも早く、しかも多頻度で島内いろいろな所に行けるはずだ。人口が減り、交通や通信のインフラが整った時代に、いつまでも旧態依然のユニバーサルなサービスを続けることはままならず、戦略的凝縮が必要なはずだ。
とは言え、それぞれの地域に住む人々にとっては、利便性云々よりも一旦手にしたものを「失う」ということにはそう簡単に同意しないだろう。戦略的凝縮論に、総論は賛成であっても、なぜ俺のところがということになる。議員は自身の選挙のことを考え、敢えてこんな話は出さず、役所も住民と余計なトラブルを起こしたくないに違いない。唯一のチャンスは、ハイウェーとも言っていいような立派な縦貫道路を作ると決めた時に、「その代わりこういうものはなくす」というような交換条件にすれば良かったのだが、未だに手打港に高速艇が就航しているところを見ると、そんなことはなかったのだろう。この辺りが「耳触りの良い事しか言わない」わが国の政治や行政の悪い習性で、話しは飛躍するが、現在のわが国の停滞も、おおげさに言えば根本はこのような行動特性にあるように思えてならない。
鹿島港からフェリーに乗った。港の建物や周辺には売店や商店の類いはなく、結局昼食は昨日同様船内自販機のカップヌードルで済ませた。フェリーは長浜港に寄港してから串木野港に直行した。船が着くと接続する串木野駅行きと川内駅行きのバスが出ており、前者に乗ったが客は私を含めて2人しかいなかった。鹿児島行きの電車は4連だったがロングシート、鹿児島中央に近付くにつれ乗客が増え、立ち客もかなりあった。JR九州が新幹線開業後もこの区間を手離さなかったのも頷けた。
鉄道の生きる道へ果敢に挑戦 頑張れJR九州
鹿児島では市内中心部照国神社鳥居横の朝食つき3500円というビジネスホテルに泊った。昨日に続き朝ゆっくりできたので、島津久光、斉彬、西郷隆盛、小松帯刀などの像を見て歩き、鹿児島市役所前から市電で中央駅に出て、鹿児島に来たら定番の「若き薩摩の群像たち」の銅像を見て涙流しをした。神社などで、大勢のボランティアが箒で掃きながら集めていたのは桜島の火山灰で、ところどころに小さな山ができていた。車も薄汚れたものが多い。これも自然災害のひとつだが、地震や台風など一過性のものとは違って、終わることのないものとずっと毎日闘うのも大変なことだと思った。
県北部の旧大口市と旧菱刈町に行ってから鹿児島空港へ行くのが最終日の予定だ。7年前にも乗った特急「隼人の風」で肥薩線栗野まで行く。当時と同じレトロ風に改造した2両編成のキハで、木目調の内装は経年を感じさせない。女性アテンダントも当時と同じように2名いたが、飛行機のスチュアーデスと違ってこちらは若返っていた。そして7年前と同じように展望席でコーヒーを注文するなど、リゾート列車を堪能した。途中指定席は個人客やグループ客などで50%くらいの乗車だったが、明らかに皆観光客だ。ウィークデーでこのくらいの利用があるのだから成功していると言えるだろう。JR九州は、最近このようなリゾート特急を各地で走らせており、それぞれ人気が高いと聞く。高速道路の発達した九州内で、スイスの鉄道を見習っているようでもあり、これからの鉄道の生きる道に果敢に挑戦しているようでもあり、ますます応援したくなる。
栗野から水俣までの山野線は88年に廃止された。この廃線に沿って走るバスが、つい最近のダイヤ改正で減便になっており、1時間半程度のはずだった待ち時間が4時間近くになっていた。しかし良く調べてみると、駅から徒歩15分くらいのところに九州自動車道の栗野インター出口があり、近くのバス停に空港から大口方面に行くバスが停まり、ここだとほぼ当初の予定時刻にバスが来ることがわかった。
そこから川内川に沿って大口へ行った。旧大口市と菱刈町が08年に合併し伊佐市となっている。風が冷たく雪もちらついて来た。薩摩大口駅跡に建った「ふれあいセンター」という4階建てビル内の喫茶店で栗野行きのバスを待った。築4~50年はあるかと思われる古いビルの1階の南国交通大口バスセンターには、鶴田経由宮之城行きバスの時刻表が貼ってあった。薩摩大口・川内間を結ぶ宮之城線の代替路線だと思うが、途中の鶴田町(現さつま町の一部)を残してしまったのではないかと、急に心配になった。帰宅して調べるとやはり行っていなかった。これで鹿児島県の北半分は完了したと思っていたのに、またも事前の油断から1カ所残してしまった。面倒だがまたここだけのために来なければならない。
大口からは金鉱山で有名な菱刈役場前で途中下車し、空港行きのバスに乗り換え鹿児島空港に戻った。


鹿児島空港では、予約していたひとつ前の便が1席だけ空いていた。B777の大型機で、2つの高校の修学旅行生が大半で、一般客は50人もいなかった。今回は鹿児島県のみ4市5町4村の13カ所に行き、累計3056、残り203とし、これで今年は終了とした。09年、10年、今年と229→142→108と来ているので明らかにペースが落ちてきた。
鹿児島県についてはまだ22残っており、島嶼部もあるので1回では終わらないはずだが、さらに県北部に飛び離れた旧鶴田町へも行かなければならないことがわかったので、また計画作成に苦労しなければならない。楽しいことには違いないが。





